
PROGRAMMING6. REFERENCE POSITION
B–63194EN/02
88
The lamp for indicating the completion of return does not go on when the
machine lock is turned on, even when the tool has automatically returned
to the reference position. In this case, it is not checked whether the tool
has returned to the reference position even when a G27 command is
specified.
When the G28 command is specified when manual return to the reference
position has not been performed after the power has been turned on, the
movement from the intermediate point is the same as in manual return to
the reference position.
In this case, the tool moves in the direction for reference position return
specified in parameter ZMIx (bit 5 of No. 1006). Therefore the specified
intermediate position must be a position to which reference position
return is possible.
In an offset mode, the position to be reached by the tool with the G27
command is the position obtained by adding the offset value. Therefore,
if the position with the offset value added is not the reference position, the
lamp does not light up, but an alarm is displayed instead. Usually, cancel
offsets before G27 is commanded.
When the machine tool system is an inch system with metric input, the
reference position return lamp may also light up even if the programmed
position is shifted from the reference position by the least setting
increment. This is because the least setting increment of the machine tool
system is smaller than its least command increment.
See III–3.1.
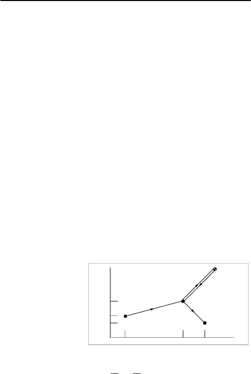
G28G90X1000.0Y500.0 ; (Programs movement from A to B)
T1111 ; (Changing the tool at the reference position)
G29X1300.0Y200.0 ; (Programs movement from B to C)
A
B
C
R
Reference
position
200
300
500
200 1000 1300
Y
X
The tool is changed at the reference position
Fig. 6.1 (c) Reference position return and return from the reference
position
Restrictions
D Status the machine lock
being turned on
D First return to the
reference position after
the power has been
turned on (without an
absolute position
detector)
D Reference position
return check in an offset
mode
D Lighting the lamp when
the programmed position
does not coincide with
the reference position
Reference
Manual reference position
return
Examples