
5. OPERATION
. Print format specification
Either Japanese-language (Japanese-language input mode screen) or code
format (code input mode screen) is selected.
7) Cross-reference list printing
A cross-reference list is printed. (Fig. 5.2 (d))
i) Option (cross-reference list printing)
* When a cross-reference list is printed, a check is made for duplicate writing,
and the output range of addresses is specified. If a duplicate write check is
specified, a message is displayed for duplicate writing of a write coil and
duplicate use of a function instruction that uses a number (such as a timer and
counter). The range of output addresses can be specified according to the
following table.
Table 5.2 Cross-Reference List Address Specification
I
I
Address specification mode
Example of
keying in
Address to be output
ALL
ALL
Initial letter of an address
Y
Bit address
R1.O
Byte address
x10
All addresses
All addresses having a specified initial letter
Specified bit addresses only
Specified byte addresses
(including bit addresses)
Address range
I
F10.0.F12.7
I
All addresses in a specified range
X2.3.END
(Note 1)
All addresses after a specified address
(Note 1) When an address specification is made, addresses are output in the sequence: X. Y,
F, G, R, A, C, K, D. T, variable address, P. In this example, therefore, Y and all
subsequent addresses are output.
8) List file printing
Data from a list file is printed.
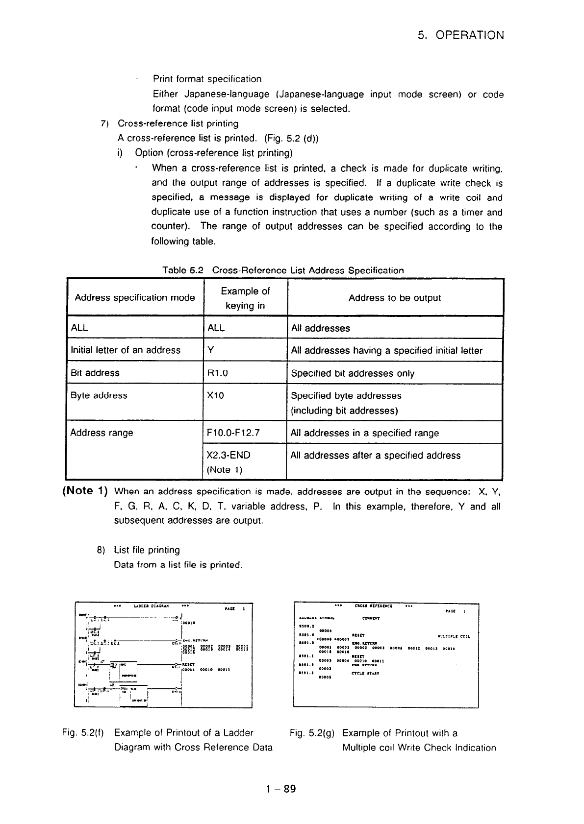
Fig. 5.2(f)
Example of Printout of a Ladder Fig. 52(g) Example of Printout with a
Diagram with Cross Reference Data
Multiple coil Write Check Indication
l-89